Skip to contents

Create detailed antibiograms with options for traditional, combination, syndromic, and Bayesian WISCA methods.

Adhering to previously described approaches (see Source) and especially the Bayesian WISCA model (Weighted-Incidence Syndromic Combination Antibiogram) by Bielicki et al., these functions provide flexible output formats including plots and tables, ideal for integration with R Markdown and Quarto reports.

Usage

antibiogram(x, antimicrobials = where(is.sir), mo_transform = "shortname",
  ab_transform = "name", syndromic_group = NULL, add_total_n = FALSE,
  only_all_tested = FALSE, digits = ifelse(wisca, 1, 0),
  formatting_type = getOption("AMR_antibiogram_formatting_type",
  ifelse(wisca, 14, 18)), col_mo = NULL, language = get_AMR_locale(),
  minimum = 30, combine_SI = TRUE, sep = " + ", sort_columns = TRUE,
  wisca = FALSE, simulations = 1000, conf_interval = 0.95,
  interval_side = "two-tailed", info = interactive(), ...)

wisca(x, antimicrobials = where(is.sir), ab_transform = "name",
  syndromic_group = NULL, only_all_tested = FALSE, digits = 1,
  formatting_type = getOption("AMR_antibiogram_formatting_type", 14),
  col_mo = NULL, language = get_AMR_locale(), combine_SI = TRUE,
  sep = " + ", sort_columns = TRUE, simulations = 1000,
  conf_interval = 0.95, interval_side = "two-tailed",
  info = interactive(), ...)

retrieve_wisca_parameters(wisca_model, ...)

# S3 method for class 'antibiogram'
plot(x, ...)

# S3 method for class 'antibiogram'
autoplot(object, ...)

# S3 method for class 'antibiogram'
knit_print(x, italicise = TRUE,
  na = getOption("knitr.kable.NA", default = ""), ...)

Source

  • Bielicki JA et al. (2016). Selecting appropriate empirical antibiotic regimens for paediatric bloodstream infections: application of a Bayesian decision model to local and pooled antimicrobial resistance surveillance data Journal of Antimicrobial Chemotherapy 71(3); doi:10.1093/jac/dkv397

  • Bielicki JA et al. (2020). Evaluation of the coverage of 3 antibiotic regimens for neonatal sepsis in the hospital setting across Asian countries JAMA Netw Open. 3(2):e1921124; doi:10.1001/jamanetworkopen.2019.21124

  • Klinker KP et al. (2021). Antimicrobial stewardship and antibiograms: importance of moving beyond traditional antibiograms. Therapeutic Advances in Infectious Disease, May 5;8:20499361211011373; doi:10.1177/20499361211011373

  • Barbieri E et al. (2021). Development of a Weighted-Incidence Syndromic Combination Antibiogram (WISCA) to guide the choice of the empiric antibiotic treatment for urinary tract infection in paediatric patients: a Bayesian approach Antimicrobial Resistance & Infection Control May 1;10(1):74; doi:10.1186/s13756-021-00939-2

  • M39 Analysis and Presentation of Cumulative Antimicrobial Susceptibility Test Data, 5th Edition, 2022, Clinical and Laboratory Standards Institute (CLSI). https://clsi.org/standards/products/microbiology/documents/m39/.

Arguments

x

A data.frame containing at least a column with microorganisms and columns with antimicrobial results (class 'sir', see as.sir()).

antimicrobials

A vector specifying the antimicrobials containing SIR values to include in the antibiogram (see Examples). Will be evaluated using guess_ab_col(). This can be:

  • Any antimicrobial name or code that could match (see guess_ab_col()) to any column in x

  • Any antimicrobial selector, such as aminoglycosides() or carbapenems()

  • A combination of the above, using c(), e.g.:

    • c(aminoglycosides(), "AMP", "AMC")

    • c(aminoglycosides(), carbapenems())

  • Column indices using numbers

  • Combination therapy, indicated by using "+", with or without antimicrobial selectors, e.g.:

    • "cipro + genta"

    • "TZP+TOB"

    • c("TZP", "TZP+GEN", "TZP+TOB")

    • carbapenems() + "GEN"

    • carbapenems() + c("", "GEN")

    • carbapenems() + c("", aminoglycosides())

mo_transform

A character to transform microorganism input - must be "name", "shortname" (default), "gramstain", or one of the column names of the microorganisms data set: "mo", "fullname", "status", "kingdom", "phylum", "class", "order", "family", "genus", "species", "subspecies", "rank", "ref", "oxygen_tolerance", "source", "lpsn", "lpsn_parent", "lpsn_renamed_to", "mycobank", "mycobank_parent", "mycobank_renamed_to", "gbif", "gbif_parent", "gbif_renamed_to", "prevalence", or "snomed". Can also be NULL to not transform the input or NA to consider all microorganisms 'unknown'.

ab_transform

A character to transform antimicrobial input - must be one of the column names of the antimicrobials data set (defaults to "name"): "ab", "cid", "name", "group", "atc", "atc_group1", "atc_group2", "abbreviations", "synonyms", "oral_ddd", "oral_units", "iv_ddd", "iv_units", or "loinc". Can also be NULL to not transform the input.

syndromic_group

A column name of x, or values calculated to split rows of x, e.g. by using ifelse() or case_when(). See Examples.

add_total_n

(deprecated in favour of formatting_type) A logical to indicate whether n_tested available numbers per pathogen should be added to the table (default is TRUE). This will add the lowest and highest number of available isolates per antimicrobial (e.g, if for E. coli 200 isolates are available for ciprofloxacin and 150 for amoxicillin, the returned number will be "150-200"). This option is unavailable when wisca = TRUE; in that case, use retrieve_wisca_parameters() to get the parameters used for WISCA.

only_all_tested

(for combination antibiograms): a logical to indicate that isolates must be tested for all antimicrobials, see Details.

digits

Number of digits to use for rounding the antimicrobial coverage, defaults to 1 for WISCA and 0 otherwise.

formatting_type

Numeric value (1–22 for WISCA, 1-12 for non-WISCA) indicating how the 'cells' of the antibiogram table should be formatted. See Details > Formatting Type for a list of options.

col_mo

Column name of the names or codes of the microorganisms (see as.mo()) - the default is the first column of class mo. Values will be coerced using as.mo().

language

Language to translate text, which defaults to the system language (see get_AMR_locale()).

minimum

The minimum allowed number of available (tested) isolates. Any isolate count lower than minimum will return NA with a warning. The default number of 30 isolates is advised by the Clinical and Laboratory Standards Institute (CLSI) as best practice, see Source.

combine_SI

A logical to indicate whether all susceptibility should be determined by results of either S, SDD, or I, instead of only S (default is TRUE).

sep

A separating character for antimicrobial columns in combination antibiograms.

sort_columns

A logical to indicate whether the antimicrobial columns must be sorted on name.

wisca

A logical to indicate whether a Weighted-Incidence Syndromic Combination Antibiogram (WISCA) must be generated (default is FALSE). This will use a Bayesian decision model to estimate regimen coverage probabilities using Monte Carlo simulations. Set simulations, conf_interval, and interval_side to adjust.

simulations

(for WISCA) a numerical value to set the number of Monte Carlo simulations.

conf_interval

A numerical value to set confidence interval (default is 0.95).

interval_side

The side of the confidence interval, either "two-tailed" (default), "left" or "right".

info

A logical to indicate info should be printed - the default is TRUE only in interactive mode.

...

When used in R Markdown or Quarto: arguments passed on to knitr::kable() (otherwise, has no use).

wisca_model

The outcome of wisca() or antibiogram(..., wisca = TRUE).

object

An antibiogram() object.

italicise

A logical to indicate whether the microorganism names in the knitr table should be made italic, using italicise_taxonomy().

na

Character to use for showing NA values.

Details

These functions return a table with values between 0 and 100 for susceptibility, not resistance.

Remember that you should filter your data to let it contain only first isolates! This is needed to exclude duplicates and to reduce selection bias. Use first_isolate() to determine them with one of the four available algorithms: isolate-based, patient-based, episode-based, or phenotype-based.

For estimating antimicrobial coverage, especially when creating a WISCA, the outcome might become more reliable by only including the top n species encountered in the data. You can filter on this top n using top_n_microorganisms(). For example, use top_n_microorganisms(your_data, n = 10) as a pre-processing step to only include the top 10 species in the data.

The numeric values of an antibiogram are stored in a long format as the attribute long_numeric. You can retrieve them using attributes(x)$long_numeric, where x is the outcome of antibiogram() or wisca(). This is ideal for e.g. advanced plotting.

Formatting Type

The formatting of the 'cells' of the table can be set with the argument formatting_type. In these examples, 5 indicates the antimicrobial coverage (4-6 the confidence level), 15 the number of susceptible isolates, and 300 the number of tested (i.e., available) isolates:

  1. 5

  2. 15

  3. 300

  4. 15/300

  5. 5 (300)

  6. 5% (300)

  7. 5 (N=300)

  8. 5% (N=300)

  9. 5 (15/300)

  10. 5% (15/300)

  11. 5 (N=15/300)

  12. 5% (N=15/300)

  13. 5 (4-6)

  14. 5% (4-6%) - default for WISCA

  15. 5 (4-6,300)

  16. 5% (4-6%,300)

  17. 5 (4-6,N=300)

  18. 5% (4-6%,N=300) - default for non-WISCA

  19. 5 (4-6,15/300)

  20. 5% (4-6%,15/300)

  21. 5 (4-6,N=15/300)

  22. 5% (4-6%,N=15/300)

The default can be set globally with the package option AMR_antibiogram_formatting_type, e.g. options(AMR_antibiogram_formatting_type = 5). Do note that for WISCA, the total numbers of tested and susceptible isolates are less useful to report, since these are included in the Bayesian model and apparent from the susceptibility and its confidence level.

Set digits (defaults to 0) to alter the rounding of the susceptibility percentages.

Antibiogram Types

There are various antibiogram types, as summarised by Klinker et al. (2021, doi:10.1177/20499361211011373 ), and they are all supported by antibiogram().

For clinical coverage estimations, use WISCA whenever possible, since it provides more precise coverage estimates by accounting for pathogen incidence and antimicrobial susceptibility, as has been shown by Bielicki et al. (2020, doi:10.1001/jamanetworkopen.2019.21124 ). See the section Explaining WISCA on this page. Do note that WISCA is pathogen-agnostic, meaning that the outcome is not stratied by pathogen, but rather by syndrome.

  1. Traditional Antibiogram

    Case example: Susceptibility of Pseudomonas aeruginosa to piperacillin/tazobactam (TZP)

    Code example:

    antibiogram(your_data,
                antimicrobials = "TZP")

  2. Combination Antibiogram

    Case example: Additional susceptibility of Pseudomonas aeruginosa to TZP + tobramycin versus TZP alone

    Code example:

    antibiogram(your_data,
                antimicrobials = c("TZP", "TZP+TOB", "TZP+GEN"))

  3. Syndromic Antibiogram

    Case example: Susceptibility of Pseudomonas aeruginosa to TZP among respiratory specimens (obtained among ICU patients only)

    Code example:

    antibiogram(your_data,
                antimicrobials = penicillins(),
                syndromic_group = "ward")

  4. Weighted-Incidence Syndromic Combination Antibiogram (WISCA)

    WISCA can be applied to any antibiogram, see the section Explaining WISCA on this page for more information.

    Code example:

    antibiogram(your_data,
                antimicrobials = c("TZP", "TZP+TOB", "TZP+GEN"),
                wisca = TRUE)
    
    # this is equal to:
    wisca(your_data,
          antimicrobials = c("TZP", "TZP+TOB", "TZP+GEN"))

    WISCA uses a sophisticated Bayesian decision model to combine both local and pooled antimicrobial resistance data. This approach not only evaluates local patterns but can also draw on multi-centre data sets to improve regimen accuracy, even in low-incidence infections like paediatric bloodstream infections (BSIs).

Grouped tibbles

For any type of antibiogram, grouped tibbles can also be used to calculate susceptibilities over various groups.

Code example:

library(dplyr)
your_data %>%
  group_by(has_sepsis, is_neonate, sex) %>%
  wisca(antimicrobials = c("TZP", "TZP+TOB", "TZP+GEN"))

Stepped Approach for Clinical Insight

In clinical practice, antimicrobial coverage decisions evolve as more microbiological data becomes available. This theoretical stepped approach ensures empirical coverage can continuously assessed to improve patient outcomes:

  1. Initial Empirical Therapy (Admission / Pre-Culture Data)

    At admission, no pathogen information is available.

    • Action: broad-spectrum coverage is based on local resistance patterns and syndromic antibiograms. Using the pathogen-agnostic yet incidence-weighted WISCA is preferred.

    • Code example:

      antibiogram(your_data,
                  antimicrobials = selected_regimens,
                  mo_transform = NA) # all pathogens set to `NA`
      
      # preferred: use WISCA
      wisca(your_data,
            antimicrobials = selected_regimens)

  2. Refinement with Gram Stain Results

    When a blood culture becomes positive, the Gram stain provides an initial and crucial first stratification (Gram-positive vs. Gram-negative).

    • Action: narrow coverage based on Gram stain-specific resistance patterns.

    • Code example:

      antibiogram(your_data,
                  antimicrobials = selected_regimens,
                  mo_transform = "gramstain") # all pathogens set to Gram-pos/Gram-neg

  3. Definitive Therapy Based on Species Identification

    After cultivation of the pathogen, full pathogen identification allows precise targeting of therapy.

    • Action: adjust treatment to pathogen-specific antibiograms, minimizing resistance risks.

    • Code example:

      antibiogram(your_data,
                  antimicrobials = selected_regimens,
                  mo_transform = "shortname") # all pathogens set to 'G. species', e.g., E. coli

By structuring antibiograms around this stepped approach, clinicians can make data-driven adjustments at each stage, ensuring optimal empirical and targeted therapy while reducing unnecessary broad-spectrum antimicrobial use.

Inclusion in Combination Antibiograms

Note that for combination antibiograms, it is important to realise that susceptibility can be calculated in two ways, which can be set with the only_all_tested argument (default is FALSE). See this example for two antimicrobials, Drug A and Drug B, about how antibiogram() works to calculate the %SI:

--------------------------------------------------------------------
                    only_all_tested = FALSE  only_all_tested = TRUE
                    -----------------------  -----------------------
 Drug A    Drug B   considered   considered  considered   considered
                    susceptible    tested    susceptible    tested
--------  --------  -----------  ----------  -----------  ----------
 S or I    S or I        X            X           X            X
   R       S or I        X            X           X            X
  <NA>     S or I        X            X           -            -
 S or I      R           X            X           X            X
   R         R           -            X           -            X
  <NA>       R           -            -           -            -
 S or I     <NA>         X            X           -            -
   R        <NA>         -            -           -            -
  <NA>      <NA>         -            -           -            -
--------------------------------------------------------------------

Plotting

All types of antibiograms as listed above can be plotted (using ggplot2::autoplot() or base R's plot() and barplot()). As mentioned above, the numeric values of an antibiogram are stored in a long format as the attribute long_numeric. You can retrieve them using attributes(x)$long_numeric, where x is the outcome of antibiogram() or wisca().

The outcome of antibiogram() can also be used directly in R Markdown / Quarto (i.e., knitr) for reports. In this case, knitr::kable() will be applied automatically and microorganism names will even be printed in italics at default (see argument italicise).

You can also use functions from specific 'table reporting' packages to transform the output of antibiogram() to your needs, e.g. with flextable::as_flextable() or gt::gt().

Explaining WISCA

WISCA (Weighted-Incidence Syndromic Combination Antibiogram) estimates the probability of empirical coverage for combination regimens.

It weights susceptibility by pathogen prevalence within a clinical syndrome and provides credible intervals around the expected coverage.

For more background, interpretation, and examples, see the WISCA vignette.

Author

Implementation: Dr. Larisse Bolton and Dr. Matthijs Berends

Examples

# example_isolates is a data set available in the AMR package.
# run ?example_isolates for more info.
example_isolates
#> # A tibble: 2,000 × 46
#>    date       patient   age gender ward     mo           PEN   OXA   FLC   AMX  
#>    <date>     <chr>   <dbl> <chr>  <chr>    <mo>         <sir> <sir> <sir> <sir>
#>  1 2002-01-02 A77334     65 F      Clinical B_ESCHR_COLI   R     NA    NA    NA 
#>  2 2002-01-03 A77334     65 F      Clinical B_ESCHR_COLI   R     NA    NA    NA 
#>  3 2002-01-07 067927     45 F      ICU      B_STPHY_EPDR   R     NA    R     NA 
#>  4 2002-01-07 067927     45 F      ICU      B_STPHY_EPDR   R     NA    R     NA 
#>  5 2002-01-13 067927     45 F      ICU      B_STPHY_EPDR   R     NA    R     NA 
#>  6 2002-01-13 067927     45 F      ICU      B_STPHY_EPDR   R     NA    R     NA 
#>  7 2002-01-14 462729     78 M      Clinical B_STPHY_AURS   R     NA    S     R  
#>  8 2002-01-14 462729     78 M      Clinical B_STPHY_AURS   R     NA    S     R  
#>  9 2002-01-16 067927     45 F      ICU      B_STPHY_EPDR   R     NA    R     NA 
#> 10 2002-01-17 858515     79 F      ICU      B_STPHY_EPDR   R     NA    S     NA 
#> # ℹ 1,990 more rows
#> # ℹ 36 more variables: AMC <sir>, AMP <sir>, TZP <sir>, CZO <sir>, FEP <sir>,
#> #   CXM <sir>, FOX <sir>, CTX <sir>, CAZ <sir>, CRO <sir>, GEN <sir>,
#> #   TOB <sir>, AMK <sir>, KAN <sir>, TMP <sir>, SXT <sir>, NIT <sir>,
#> #   FOS <sir>, LNZ <sir>, CIP <sir>, MFX <sir>, VAN <sir>, TEC <sir>,
#> #   TCY <sir>, TGC <sir>, DOX <sir>, ERY <sir>, CLI <sir>, AZM <sir>,
#> #   IPM <sir>, MEM <sir>, MTR <sir>, CHL <sir>, COL <sir>, MUP <sir>, …

# \donttest{
# Traditional antibiogram ----------------------------------------------

antibiogram(example_isolates,
  antimicrobials = c(aminoglycosides(), carbapenems())
)
#> ℹ For `aminoglycosides()` using columns 'GEN' (gentamicin), 'TOB'
#>   (tobramycin), 'AMK' (amikacin), and 'KAN' (kanamycin)
#> ℹ For `carbapenems()` using columns 'IPM' (imipenem) and 'MEM' (meropenem)
#> # An Antibiogram: 10 × 7
#> # Type:           Non-WISCA with 95% CI
#>    Pathogen       Amikacin    Gentamicin Imipenem Kanamycin Meropenem Tobramycin
#>    <chr>          <chr>       <chr>      <chr>    <chr>     <chr>     <chr>     
#>  1 CoNS           0% (0-8%,N… 86% (82-9… 52% (37… 0% (0-8%… 52% (37-… 22% (12-3…
#>  2 E. coli        100% (98-1… 98% (96-9… 100% (9… NA        100% (99… 97% (96-9…
#>  3 E. faecalis    0% (0-9%,N… 0% (0-9%,… 100% (9… 0% (0-9%… NA        0% (0-9%,…
#>  4 K. pneumoniae  NA          90% (79-9… 100% (9… NA        100% (93… 90% (79-9…
#>  5 P. aeruginosa  NA          100% (88-… NA       0% (0-12… NA        100% (88-…
#>  6 P. mirabilis   NA          94% (80-9… 94% (79… NA        NA        94% (80-9…
#>  7 S. aureus      NA          99% (97-1… NA       NA        NA        98% (92-1…
#>  8 S. epidermidis 0% (0-8%,N… 79% (71-8… NA       0% (0-8%… NA        51% (40-6…
#>  9 S. hominis     NA          92% (84-9… NA       NA        NA        85% (74-9…
#> 10 S. pneumoniae  0% (0-3%,N… 0% (0-3%,… NA       0% (0-3%… NA        0% (0-3%,…
#> # Use `ggplot2::autoplot()` or base R `plot()` to create a plot of this antibiogram,
#> # or use it directly in R Markdown or https://quarto.org, see ?antibiogram

antibiogram(example_isolates,
  antimicrobials = aminoglycosides(),
  ab_transform = "atc",
  mo_transform = "gramstain"
)
#> ℹ For `aminoglycosides()` using columns 'GEN' (gentamicin), 'TOB'
#>   (tobramycin), 'AMK' (amikacin), and 'KAN' (kanamycin)
#> # An Antibiogram: 2 × 5
#> # Type:           Non-WISCA with 95% CI
#>   Pathogen      J01GB01            J01GB03             J01GB04         J01GB06  
#>   <chr>         <chr>              <chr>               <chr>           <chr>    
#> 1 Gram-negative 96% (94-97%,N=686) 96% (95-98%,N=684)  0% (0-10%,N=35) 98% (96-…
#> 2 Gram-positive 34% (31-38%,N=665) 63% (60-66%,N=1170) 0% (0-1%,N=436) 0% (0-1%…
#> # Use `ggplot2::autoplot()` or base R `plot()` to create a plot of this antibiogram,
#> # or use it directly in R Markdown or https://quarto.org, see ?antibiogram

antibiogram(example_isolates,
  antimicrobials = carbapenems(),
  ab_transform = "name",
  mo_transform = "name"
)
#> ℹ For `carbapenems()` using columns 'IPM' (imipenem) and 'MEM' (meropenem)
#> # An Antibiogram: 5 × 3
#> # Type:           Non-WISCA with 95% CI
#>   Pathogen                                 Imipenem             Meropenem       
#>   <chr>                                    <chr>                <chr>           
#> 1 Coagulase-negative Staphylococcus (CoNS) 52% (37-67%,N=48)    52% (37-67%,N=4…
#> 2 Enterococcus faecalis                    100% (91-100%,N=38)  NA              
#> 3 Escherichia coli                         100% (99-100%,N=422) 100% (99-100%,N…
#> 4 Klebsiella pneumoniae                    100% (93-100%,N=51)  100% (93-100%,N…
#> 5 Proteus mirabilis                        94% (79-99%,N=32)    NA              
#> # Use `ggplot2::autoplot()` or base R `plot()` to create a plot of this antibiogram,
#> # or use it directly in R Markdown or https://quarto.org, see ?antibiogram


# Combined antibiogram -------------------------------------------------

# combined antimicrobials yield higher empiric coverage
antibiogram(example_isolates,
  antimicrobials = c("TZP", "TZP+TOB", "TZP+GEN"),
  mo_transform = "gramstain"
)
#> # An Antibiogram: 2 × 4
#> # Type:           Non-WISCA with 95% CI
#>   Pathogen  Piperacillin/tazobac…¹ Piperacillin/tazobac…² Piperacillin/tazobac…³
#>   <chr>     <chr>                  <chr>                  <chr>                 
#> 1 Gram-neg… 88% (85-91%,N=641)     99% (97-99%,N=691)     98% (97-99%,N=693)    
#> 2 Gram-pos… 86% (82-89%,N=345)     98% (96-98%,N=1044)    95% (93-97%,N=550)    
#> # ℹ abbreviated names: ¹​`Piperacillin/tazobactam`,
#> #   ²​`Piperacillin/tazobactam + Gentamicin`,
#> #   ³​`Piperacillin/tazobactam + Tobramycin`
#> # Use `ggplot2::autoplot()` or base R `plot()` to create a plot of this antibiogram,
#> # or use it directly in R Markdown or https://quarto.org, see ?antibiogram

# you can use any antimicrobial selector with `+` too:
antibiogram(example_isolates,
  antimicrobials = ureidopenicillins() + c("", "GEN", "tobra"),
  mo_transform = "gramstain"
)
#> ℹ For `ureidopenicillins()` using column 'TZP' (piperacillin/tazobactam)
#> # An Antibiogram: 2 × 4
#> # Type:           Non-WISCA with 95% CI
#>   Pathogen  Piperacillin/tazobac…¹ Piperacillin/tazobac…² Piperacillin/tazobac…³
#>   <chr>     <chr>                  <chr>                  <chr>                 
#> 1 Gram-neg… 88% (85-91%,N=641)     99% (97-99%,N=691)     98% (97-99%,N=693)    
#> 2 Gram-pos… 86% (82-89%,N=345)     98% (96-98%,N=1044)    95% (93-97%,N=550)    
#> # ℹ abbreviated names: ¹​`Piperacillin/tazobactam`,
#> #   ²​`Piperacillin/tazobactam + Gentamicin`,
#> #   ³​`Piperacillin/tazobactam + Tobramycin`
#> # Use `ggplot2::autoplot()` or base R `plot()` to create a plot of this antibiogram,
#> # or use it directly in R Markdown or https://quarto.org, see ?antibiogram

# names of antimicrobials do not need to resemble columns exactly:
antibiogram(example_isolates,
  antimicrobials = c("Cipro", "cipro + genta"),
  mo_transform = "gramstain",
  ab_transform = "name",
  sep = " & "
)
#> # An Antibiogram: 2 × 3
#> # Type:           Non-WISCA with 95% CI
#>   Pathogen      Ciprofloxacin      `Ciprofloxacin & Gentamicin`
#>   <chr>         <chr>              <chr>                       
#> 1 Gram-negative 91% (88-93%,N=684) 99% (97-99%,N=694)          
#> 2 Gram-positive 77% (74-80%,N=724) 93% (91-94%,N=847)          
#> # Use `ggplot2::autoplot()` or base R `plot()` to create a plot of this antibiogram,
#> # or use it directly in R Markdown or https://quarto.org, see ?antibiogram


# Syndromic antibiogram ------------------------------------------------

# the data set could contain a filter for e.g. respiratory specimens
antibiogram(example_isolates,
  antimicrobials = c(aminoglycosides(), carbapenems()),
  syndromic_group = "ward"
)
#> ℹ For `aminoglycosides()` using columns 'GEN' (gentamicin), 'TOB'
#>   (tobramycin), 'AMK' (amikacin), and 'KAN' (kanamycin)
#> ℹ For `carbapenems()` using columns 'IPM' (imipenem) and 'MEM' (meropenem)
#> # An Antibiogram: 14 × 8
#> # Type:           Non-WISCA with 95% CI
#>    `Syndromic Group` Pathogen   Amikacin Gentamicin Imipenem Kanamycin Meropenem
#>    <chr>             <chr>      <chr>    <chr>      <chr>    <chr>     <chr>    
#>  1 Clinical          CoNS       NA       89% (84-9… 57% (39… NA        57% (39-…
#>  2 ICU               CoNS       NA       79% (68-8… NA       NA        NA       
#>  3 Outpatient        CoNS       NA       84% (66-9… NA       NA        NA       
#>  4 Clinical          E. coli    100% (9… 98% (96-9… 100% (9… NA        100% (99…
#>  5 ICU               E. coli    100% (9… 99% (95-1… 100% (9… NA        100% (97…
#>  6 Clinical          K. pneumo… NA       92% (81-9… 100% (9… NA        100% (92…
#>  7 Clinical          P. mirabi… NA       100% (88-… NA       NA        NA       
#>  8 Clinical          S. aureus  NA       99% (95-1… NA       NA        NA       
#>  9 ICU               S. aureus  NA       100% (95-… NA       NA        NA       
#> 10 Clinical          S. epider… NA       82% (72-9… NA       NA        NA       
#> 11 ICU               S. epider… NA       72% (60-8… NA       NA        NA       
#> 12 Clinical          S. hominis NA       96% (85-9… NA       NA        NA       
#> 13 Clinical          S. pneumo… 0% (0-5… 0% (0-5%,… NA       0% (0-5%… NA       
#> 14 ICU               S. pneumo… 0% (0-1… 0% (0-12%… NA       0% (0-12… NA       
#> # ℹ 1 more variable: Tobramycin <chr>
#> # Use `ggplot2::autoplot()` or base R `plot()` to create a plot of this antibiogram,
#> # or use it directly in R Markdown or https://quarto.org, see ?antibiogram

# now define a data set with only E. coli
ex1 <- example_isolates[which(mo_genus() == "Escherichia"), ]
#> ℹ Using column 'mo' as input for `mo_genus()`

# with a custom language, though this will be determined automatically
# (i.e., this table will be in Spanish on Spanish systems)
antibiogram(ex1,
  antimicrobials = aminoglycosides(),
  ab_transform = "name",
  syndromic_group = ifelse(ex1$ward == "ICU",
    "UCI", "No UCI"
  ),
  language = "es"
)
#> ℹ For `aminoglycosides()` using columns 'GEN' (gentamicin), 'TOB'
#>   (tobramycin), 'AMK' (amikacin), and 'KAN' (kanamycin)
#> # An Antibiogram: 2 × 5
#> # Type:           Non-WISCA with 95% CI
#>   `Grupo sindrómico` Patógeno Amikacina            Gentamicina       Tobramicina
#>   <chr>              <chr>    <chr>                <chr>             <chr>      
#> 1 No UCI             E. coli  100% (97-100%,N=119) 98% (96-99%,N=32… 98% (96-99…
#> 2 UCI                E. coli  100% (93-100%,N=52)  99% (95-100%,N=1… 96% (92-99…
#> # Use `ggplot2::autoplot()` or base R `plot()` to create a plot of this antibiogram,
#> # or use it directly in R Markdown or https://quarto.org, see ?antibiogram


# WISCA antibiogram ----------------------------------------------------

# WISCA are not stratified by species, but rather on syndromes
antibiogram(example_isolates,
  antimicrobials = c("TZP", "TZP+TOB", "TZP+GEN"),
  syndromic_group = "ward",
  wisca = TRUE
)
#> # An Antibiogram: 3 × 4
#> # Type:           WISCA with 95% CI
#>   `Syndromic Group` `Piperacillin/tazobactam` Piperacillin/tazobactam + Gentam…¹
#>   <chr>             <chr>                     <chr>                             
#> 1 Clinical          73.5% (68.1-78.6%)        92.3% (90.8-93.8%)                
#> 2 ICU               57.3% (49.8-64.9%)        84.8% (82-87.7%)                  
#> 3 Outpatient        56.8% (47-67%)            74.4% (68.6-79.7%)                
#> # ℹ abbreviated name: ¹​`Piperacillin/tazobactam + Gentamicin`
#> # ℹ 1 more variable: `Piperacillin/tazobactam + Tobramycin` <chr>
#> # Use `ggplot2::autoplot()` or base R `plot()` to create a plot of this antibiogram,
#> # or use it directly in R Markdown or https://quarto.org, see ?antibiogram


# Print the output for R Markdown / Quarto -----------------------------

ureido <- antibiogram(example_isolates,
  antimicrobials = ureidopenicillins(),
  syndromic_group = "ward",
  wisca = TRUE
)
#> ℹ For `ureidopenicillins()` using column 'TZP' (piperacillin/tazobactam)

# in an Rmd file, you would just need to return `ureido` in a chunk,
# but to be explicit here:
if (requireNamespace("knitr")) {
  cat(knitr::knit_print(ureido))
}
#> 
#> 
#> |Syndromic Group |Piperacillin/tazobactam |
#> |:---------------|:-----------------------|
#> |Clinical        |73.6% (68.5-78.7%)      |
#> |ICU             |57.4% (49.3-65.8%)      |
#> |Outpatient      |57% (47.1-67.3%)        |


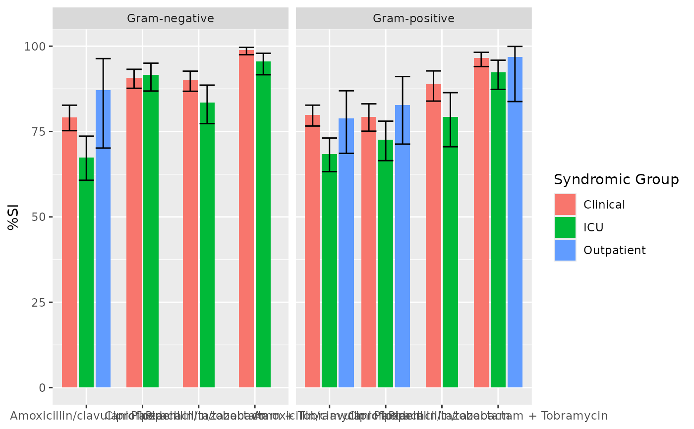
# Generate plots with ggplot2 or base R --------------------------------

ab1 <- antibiogram(example_isolates,
  antimicrobials = c("AMC", "CIP", "TZP", "TZP+TOB"),
  mo_transform = "gramstain"
)
ab2 <- antibiogram(example_isolates,
  antimicrobials = c("AMC", "CIP", "TZP", "TZP+TOB"),
  mo_transform = "gramstain",
  syndromic_group = "ward"
)

if (requireNamespace("ggplot2")) {
  ggplot2::autoplot(ab1)
}

if (requireNamespace("ggplot2")) {
  ggplot2::autoplot(ab2)
}


plot(ab1)

plot(ab2)

# }