1
0
mirror of https://github.com/msberends/AMR.git synced 2026-02-09 05:52:54 +01:00
Files
AMR/articles/AMR.md
2026-01-08 09:35:29 +00:00

44 KiB
Raw Blame History

Conduct AMR data analysis

Note: values on this page will change with every website update since they are based on randomly created values and the page was written in R Markdown. However, the methodology remains unchanged. This page was generated on 08 January 2026.

Introduction

Conducting AMR data analysis unfortunately requires in-depth knowledge from different scientific fields, which makes it hard to do right. At least, it requires:

  • Good questions (always start with those!) and reliable data
  • A thorough understanding of (clinical) epidemiology, to understand the clinical and epidemiological relevance and possible bias of results
  • A thorough understanding of (clinical) microbiology/infectious diseases, to understand which microorganisms are causal to which infections and the implications of pharmaceutical treatment, as well as understanding intrinsic and acquired microbial resistance
  • Experience with data analysis with microbiological tests and their results, to understand the determination and limitations of MIC values and their interpretations to SIR values
  • Availability of the biological taxonomy of microorganisms and probably normalisation factors for pharmaceuticals, such as defined daily doses (DDD)
  • Available (inter-)national guidelines, and profound methods to apply them

Of course, we cannot instantly provide you with knowledge and experience. But with this AMR package, we aimed at providing (1) tools to simplify antimicrobial resistance data cleaning, transformation and analysis, (2) methods to easily incorporate international guidelines and (3) scientifically reliable reference data, including the requirements mentioned above.

The AMR package enables standardised and reproducible AMR data analysis, with the application of evidence-based rules, determination of first isolates, translation of various codes for microorganisms and antimicrobial drugs, determination of (multi-drug) resistant microorganisms, and calculation of antimicrobial resistance, prevalence and future trends.

Preparation

For this tutorial, we will create fake demonstration data to work with.

You can skip to Cleaning the data if you already have your own data ready. If you start your analysis, try to make the structure of your data generally look like this:

date patient_id mo AMX CIP
2026-01-08 abcd Escherichia coli S S
2026-01-08 abcd Escherichia coli S R
2026-01-08 efgh Escherichia coli R S

Needed R packages

As with many uses in R, we need some additional packages for AMR data analysis. Our package works closely together with the tidyverse packages dplyr and ggplot2 by RStudio. The tidyverse tremendously improves the way we conduct data science - it allows for a very natural way of writing syntaxes and creating beautiful plots in R.

We will also use the cleaner package, that can be used for cleaning data and creating frequency tables.

library(dplyr)
library(ggplot2)
library(AMR)

# (if not yet installed, install with:)
# install.packages(c("dplyr", "ggplot2", "AMR"))

The AMR package contains a data set example_isolates_unclean, which might look data that users have extracted from their laboratory systems:

example_isolates_unclean
#> # A tibble: 3,000 × 8
#>    patient_id hospital date       bacteria      AMX   AMC   CIP   GEN  
#>    <chr>      <chr>    <date>     <chr>         <chr> <chr> <chr> <chr>
#>  1 J3         A        2012-11-21 E. coli       R     I     S     S    
#>  2 R7         A        2018-04-03 K. pneumoniae R     I     S     S    
#>  3 P3         A        2014-09-19 E. coli       R     S     S     S    
#>  4 P10        A        2015-12-10 E. coli       S     I     S     S    
#>  5 B7         A        2015-03-02 E. coli       S     S     S     S    
#>  6 W3         A        2018-03-31 S. aureus     R     S     R     S    
#>  7 J8         A        2016-06-14 E. coli       R     S     S     S    
#>  8 M3         A        2015-10-25 E. coli       R     S     S     S    
#>  9 J3         A        2019-06-19 E. coli       S     S     S     S    
#> 10 G6         A        2015-04-27 S. aureus     S     S     S     S    
#> #  2,990 more rows

# we will use 'our_data' as the data set name for this tutorial
our_data <- example_isolates_unclean

For AMR data analysis, we would like the microorganism column to contain valid, up-to-date taxonomy, and the antibiotic columns to be cleaned as SIR values as well.

Taxonomy of microorganisms

With as.mo(), users can transform arbitrary microorganism names or codes to current taxonomy. The AMR package contains up-to-date taxonomic data. To be specific, currently included data were retrieved on 24 Jun 2024.

The codes of the AMR packages that come from as.mo() are short, but still human readable. More importantly, as.mo() supports all kinds of input:

as.mo("Klebsiella pneumoniae")
#> Class 'mo'
#> [1] B_KLBSL_PNMN
as.mo("K. pneumoniae")
#> Class 'mo'
#> [1] B_KLBSL_PNMN
as.mo("KLEPNE")
#> Class 'mo'
#> [1] B_KLBSL_PNMN
as.mo("KLPN")
#> Class 'mo'
#> [1] B_KLBSL_PNMN

The first character in above codes denote their taxonomic kingdom, such as Bacteria (B), Fungi (F), and Protozoa (P).

The AMR package also contain functions to directly retrieve taxonomic properties, such as the name, genus, species, family, order, and even Gram-stain. They all start with mo_ and they use as.mo() internally, so that still any arbitrary user input can be used:

mo_family("K. pneumoniae")
#> [1] "Enterobacteriaceae"
mo_genus("K. pneumoniae")
#> [1] "Klebsiella"
mo_species("K. pneumoniae")
#> [1] "pneumoniae"

mo_gramstain("Klebsiella pneumoniae")
#> [1] "Gram-negative"

mo_ref("K. pneumoniae")
#> [1] "Trevisan, 1887"

mo_snomed("K. pneumoniae")
#> [[1]]
#> [1] "1098101000112102" "446870005"        "1098201000112108" "409801009"       
#> [5] "56415008"         "714315002"        "713926009"

Now we can thus clean our data:

our_data$bacteria <- as.mo(our_data$bacteria, info = TRUE)
#>  Retrieved values from the `microorganisms.codes` data set for "ESCCOL",
#>   "KLEPNE", "STAAUR", and "STRPNE".
#>  Microorganism translation was uncertain for four microorganisms. Run
#>   `mo_uncertainties()` to review these uncertainties, or use
#>   `add_custom_microorganisms()` to add custom entries.

Apparently, there was some uncertainty about the translation to taxonomic codes. Lets check this:

mo_uncertainties()
#> Matching scores are based on the resemblance between the input and the full
#> taxonomic name, and the pathogenicity in humans. See `?mo_matching_score`.
#> Colour keys:  0.000-0.549  0.550-0.649  0.650-0.749  0.750-1.000 
#> 
#> --------------------------------------------------------------------------------
#> "E. coli" -> Escherichia coli (B_ESCHR_COLI, 0.688)
#> Also matched: Enterococcus crotali (0.650), Escherichia coli coli
#>               (0.643), Escherichia coli expressing (0.611), Enterobacter cowanii
#>               (0.600), Enterococcus columbae (0.595), Enterococcus camelliae (0.591),
#>               Enterococcus casseliflavus (0.577), Enterobacter cloacae cloacae
#>               (0.571), Enterobacter cloacae complex (0.571), and Enterobacter cloacae
#>               dissolvens (0.565)
#> --------------------------------------------------------------------------------
#> "K. pneumoniae" -> Klebsiella pneumoniae (B_KLBSL_PNMN, 0.786)
#> Also matched: Klebsiella pneumoniae complex (0.707), Klebsiella
#>               pneumoniae ozaenae (0.707), Klebsiella pneumoniae pneumoniae (0.688),
#>               Klebsiella pneumoniae rhinoscleromatis (0.658), Klebsiella pasteurii
#>               (0.500), Klebsiella planticola (0.500), Kingella potus (0.400),
#>               Kluyveromyces pseudotropicale (0.386), Kluyveromyces pseudotropicalis
#>               (0.363), and Kosakonia pseudosacchari (0.361)
#> --------------------------------------------------------------------------------
#> "S. aureus" -> Staphylococcus aureus (B_STPHY_AURS, 0.690)
#> Also matched: Staphylococcus aureus aureus (0.643), Staphylococcus
#>               argenteus (0.625), Staphylococcus aureus anaerobius (0.625),
#>               Staphylococcus auricularis (0.615), Salmonella Aurelianis (0.595),
#>               Salmonella Aarhus (0.588), Salmonella Amounderness (0.587),
#>               Staphylococcus argensis (0.587), Streptococcus australis (0.587), and
#>               Salmonella choleraesuis arizonae (0.562)
#> --------------------------------------------------------------------------------
#> "S. pneumoniae" -> Streptococcus pneumoniae (B_STRPT_PNMN, 0.750)
#> Also matched: Streptococcus pseudopneumoniae (0.700), Streptococcus
#>               phocae salmonis (0.552), Serratia proteamaculans quinovora (0.545),
#>               Streptococcus pseudoporcinus (0.536), Staphylococcus piscifermentans
#>               (0.533), Staphylococcus pseudintermedius (0.532), Serratia
#>               proteamaculans proteamaculans (0.526), Streptococcus gallolyticus
#>               pasteurianus (0.526), Salmonella Portanigra (0.524), and Streptococcus
#>               periodonticum (0.519)
#> 
#> Only the first 10 other matches of each record are shown. Run
#> `print(mo_uncertainties(), n = ...)` to view more entries, or save
#> `mo_uncertainties()` to an object.

Thats all good.

Antibiotic results

The column with antibiotic test results must also be cleaned. The AMR package comes with three new data types to work with such test results: mic for minimal inhibitory concentrations (MIC), disk for disk diffusion diameters, and sir for SIR data that have been interpreted already. This package can also determine SIR values based on MIC or disk diffusion values, read more about that on the as.sir() page.

For now, we will just clean the SIR columns in our data using dplyr:

# method 1, be explicit about the columns:
our_data <- our_data %>%
  mutate_at(vars(AMX:GEN), as.sir)

# method 2, let the AMR package determine the eligible columns
our_data <- our_data %>%
  mutate_if(is_sir_eligible, as.sir)

# result:
our_data
#> # A tibble: 3,000 × 8
#>    patient_id hospital date       bacteria     AMX   AMC   CIP   GEN  
#>    <chr>      <chr>    <date>     <mo>         <sir> <sir> <sir> <sir>
#>  1 J3         A        2012-11-21 B_ESCHR_COLI   R     I     S     S  
#>  2 R7         A        2018-04-03 B_KLBSL_PNMN   R     I     S     S  
#>  3 P3         A        2014-09-19 B_ESCHR_COLI   R     S     S     S  
#>  4 P10        A        2015-12-10 B_ESCHR_COLI   S     I     S     S  
#>  5 B7         A        2015-03-02 B_ESCHR_COLI   S     S     S     S  
#>  6 W3         A        2018-03-31 B_STPHY_AURS   R     S     R     S  
#>  7 J8         A        2016-06-14 B_ESCHR_COLI   R     S     S     S  
#>  8 M3         A        2015-10-25 B_ESCHR_COLI   R     S     S     S  
#>  9 J3         A        2019-06-19 B_ESCHR_COLI   S     S     S     S  
#> 10 G6         A        2015-04-27 B_STPHY_AURS   S     S     S     S  
#> #  2,990 more rows

This is basically it for the cleaning, time to start the data inclusion.

First isolates

We need to know which isolates we can actually use for analysis without repetition bias.

To conduct an analysis of antimicrobial resistance, you must only include the first isolate of every patient per episode (Hindler et al., Clin Infect Dis. 2007). If you would not do this, you could easily get an overestimate or underestimate of the resistance of an antibiotic. Imagine that a patient was admitted with an MRSA and that it was found in 5 different blood cultures the following weeks (yes, some countries like the Netherlands have these blood drawing policies). The resistance percentage of oxacillin of all isolates would be overestimated, because you included this MRSA more than once. It would clearly be selection bias.

The Clinical and Laboratory Standards Institute (CLSI) appoints this as follows:

(…) When preparing a cumulative antibiogram to guide clinical decisions about empirical antimicrobial therapy of initial infections, only the first isolate of a given species per patient, per analysis period (eg, one year) should be included, irrespective of body site, antimicrobial susceptibility profile, or other phenotypical characteristics (eg, biotype). The first isolate is easily identified, and cumulative antimicrobial susceptibility test data prepared using the first isolate are generally comparable to cumulative antimicrobial susceptibility test data calculated by other methods, providing duplicate isolates are excluded.
M39-A4 Analysis and Presentation of Cumulative Antimicrobial Susceptibility Test Data, 4th Edition. CLSI, 2014. Chapter 6.4

This AMR package includes this methodology with the first_isolate() function and is able to apply the four different methods as defined by Hindler et al. in 2007: phenotype-based, episode-based, patient-based, isolate-based. The right method depends on your goals and analysis, but the default phenotype-based method is in any case the method to properly correct for most duplicate isolates. Read more about the methods on the first_isolate() page.

The outcome of the function can easily be added to our data:

our_data <- our_data %>%
  mutate(first = first_isolate(info = TRUE))
#>  Determining first isolates using an episode length of 365 days
#>  Using column 'bacteria' as input for `col_mo`.
#>  Using column 'date' as input for `col_date`.
#>  Using column 'patient_id' as input for `col_patient_id`.
#>  Basing inclusion on all antimicrobial results, using a points threshold
#>   of 2
#> => Found 2,730 'phenotype-based' first isolates (91.0% of total where a
#>    microbial ID was available)

So only 91% is suitable for resistance analysis! We can now filter on it with the filter() function, also from the dplyr package:

our_data_1st <- our_data %>%
  filter(first == TRUE)

For future use, the above two syntaxes can be shortened:

our_data_1st <- our_data %>%
  filter_first_isolate()

So we end up with 2 730 isolates for analysis. Now our data looks like:

our_data_1st
#> # A tibble: 2,730 × 9
#>    patient_id hospital date       bacteria     AMX   AMC   CIP   GEN   first
#>    <chr>      <chr>    <date>     <mo>         <sir> <sir> <sir> <sir> <lgl>
#>  1 J3         A        2012-11-21 B_ESCHR_COLI   R     I     S     S   TRUE 
#>  2 R7         A        2018-04-03 B_KLBSL_PNMN   R     I     S     S   TRUE 
#>  3 P3         A        2014-09-19 B_ESCHR_COLI   R     S     S     S   TRUE 
#>  4 P10        A        2015-12-10 B_ESCHR_COLI   S     I     S     S   TRUE 
#>  5 B7         A        2015-03-02 B_ESCHR_COLI   S     S     S     S   TRUE 
#>  6 W3         A        2018-03-31 B_STPHY_AURS   R     S     R     S   TRUE 
#>  7 M3         A        2015-10-25 B_ESCHR_COLI   R     S     S     S   TRUE 
#>  8 J3         A        2019-06-19 B_ESCHR_COLI   S     S     S     S   TRUE 
#>  9 G6         A        2015-04-27 B_STPHY_AURS   S     S     S     S   TRUE 
#> 10 P4         A        2011-06-21 B_ESCHR_COLI   S     S     S     S   TRUE 
#> #  2,720 more rows

Time for the analysis.

Analysing the data

The base R summary() function gives a good first impression, as it comes with support for the new mo and sir classes that we now have in our data set:

summary(our_data_1st)
#>   patient_id          hospital              date           
#>  Length:2730        Length:2730        Min.   :2011-01-01  
#>  Class :character   Class :character   1st Qu.:2013-04-06  
#>  Mode  :character   Mode  :character   Median :2015-06-04  
#>                                        Mean   :2015-06-09  
#>                                        3rd Qu.:2017-08-14  
#>                                        Max.   :2019-12-27  
#>    bacteria               AMX                    AMC                
#>  Class :mo             Class:sir              Class:sir             
#>  <NA>  :0              %S   :40.1% (n=1071)   %S   :51.1% (n=1354)  
#>  Unique:4              %SDD : 0.0% (n=0)      %SDD : 0.0% (n=0)     
#>  #1    :B_ESCHR_COLI   %I   :17.0% (n=453)    %I   :12.7% (n=335)   
#>  #2    :B_STPHY_AURS   %R   :42.9% (n=1147)   %R   :36.2% (n=959)   
#>  #3    :B_STRPT_PNMN   %NI  : 0.0% (n=0)      %NI  : 0.0% (n=0)     
#>     CIP                    GEN                  first        
#>  Class:sir              Class:sir              Mode:logical  
#>  %S   :52.2% (n=1426)   %S   :60.7% (n=1656)   TRUE:2730     
#>  %SDD : 0.0% (n=0)      %SDD : 0.0% (n=0)                    
#>  %I   : 6.5% (n=178)    %I   : 3.0% (n=83)                   
#>  %R   :41.2% (n=1126)   %R   :36.3% (n=991)                  
#>  %NI  : 0.0% (n=0)      %NI  : 0.0% (n=0)

glimpse(our_data_1st)
#> Rows: 2,730
#> Columns: 9
#> $ patient_id <chr> "J3", "R7", "P3", "P10", "B7", "W3", "M3", "J3", "G6", "P4"…
#> $ hospital   <chr> "A", "A", "A", "A", "A", "A", "A", "A", "A", "A", "A", "A",…
#> $ date       <date> 2012-11-21, 2018-04-03, 2014-09-19, 2015-12-10, 2015-03-02…
#> $ bacteria   <mo> "B_ESCHR_COLI", "B_KLBSL_PNMN", "B_ESCHR_COLI", "B_ESCHR_COL…
#> $ AMX        <sir> R, R, R, S, S, R, R, S, S, S, S, R, S, S, R, R, R, R, S, R,…
#> $ AMC        <sir> I, I, S, I, S, S, S, S, S, S, S, S, S, S, S, S, S, R, S, S,…
#> $ CIP        <sir> S, S, S, S, S, R, S, S, S, S, S, S, S, S, S, S, S, S, S, S,…
#> $ GEN        <sir> S, S, S, S, S, S, S, S, S, S, S, R, S, S, S, S, S, S, S, S,…
#> $ first      <lgl> TRUE, TRUE, TRUE, TRUE, TRUE, TRUE, TRUE, TRUE, TRUE, TRUE,…

# number of unique values per column:
sapply(our_data_1st, n_distinct)
#> patient_id   hospital       date   bacteria        AMX        AMC        CIP 
#>        260          3       1854          4          4          4          3 
#>        GEN      first 
#>          3          1

Availability of species

To just get an idea how the species are distributed, create a frequency table with count() based on the name of the microorganisms:

our_data %>%
  count(mo_name(bacteria), sort = TRUE)
#> # A tibble: 4 × 2
#>   `mo_name(bacteria)`          n
#>   <chr>                    <int>
#> 1 Escherichia coli          1518
#> 2 Staphylococcus aureus      730
#> 3 Streptococcus pneumoniae   426
#> 4 Klebsiella pneumoniae      326

our_data_1st %>%
  count(mo_name(bacteria), sort = TRUE)
#> # A tibble: 4 × 2
#>   `mo_name(bacteria)`          n
#>   <chr>                    <int>
#> 1 Escherichia coli          1326
#> 2 Staphylococcus aureus      684
#> 3 Streptococcus pneumoniae   401
#> 4 Klebsiella pneumoniae      319

Select and filter with antibiotic selectors

Using so-called antibiotic class selectors, you can select or filter columns based on the antibiotic class that your antibiotic results are in:

our_data_1st %>%
  select(date, aminoglycosides())
#>  For `aminoglycosides()` using column 'GEN' (gentamicin)
#> # A tibble: 2,730 × 2
#>    date       GEN  
#>    <date>     <sir>
#>  1 2012-11-21   S  
#>  2 2018-04-03   S  
#>  3 2014-09-19   S  
#>  4 2015-12-10   S  
#>  5 2015-03-02   S  
#>  6 2018-03-31   S  
#>  7 2015-10-25   S  
#>  8 2019-06-19   S  
#>  9 2015-04-27   S  
#> 10 2011-06-21   S  
#> #  2,720 more rows

our_data_1st %>%
  select(bacteria, betalactams())
#>  For `betalactams()` using columns 'AMX' (amoxicillin) and 'AMC'
#>   (amoxicillin/clavulanic acid)
#> # A tibble: 2,730 × 3
#>    bacteria     AMX   AMC  
#>    <mo>         <sir> <sir>
#>  1 B_ESCHR_COLI   R     I  
#>  2 B_KLBSL_PNMN   R     I  
#>  3 B_ESCHR_COLI   R     S  
#>  4 B_ESCHR_COLI   S     I  
#>  5 B_ESCHR_COLI   S     S  
#>  6 B_STPHY_AURS   R     S  
#>  7 B_ESCHR_COLI   R     S  
#>  8 B_ESCHR_COLI   S     S  
#>  9 B_STPHY_AURS   S     S  
#> 10 B_ESCHR_COLI   S     S  
#> #  2,720 more rows

our_data_1st %>%
  select(bacteria, where(is.sir))
#> # A tibble: 2,730 × 5
#>    bacteria     AMX   AMC   CIP   GEN  
#>    <mo>         <sir> <sir> <sir> <sir>
#>  1 B_ESCHR_COLI   R     I     S     S  
#>  2 B_KLBSL_PNMN   R     I     S     S  
#>  3 B_ESCHR_COLI   R     S     S     S  
#>  4 B_ESCHR_COLI   S     I     S     S  
#>  5 B_ESCHR_COLI   S     S     S     S  
#>  6 B_STPHY_AURS   R     S     R     S  
#>  7 B_ESCHR_COLI   R     S     S     S  
#>  8 B_ESCHR_COLI   S     S     S     S  
#>  9 B_STPHY_AURS   S     S     S     S  
#> 10 B_ESCHR_COLI   S     S     S     S  
#> #  2,720 more rows

# filtering using AB selectors is also possible:
our_data_1st %>%
  filter(any(aminoglycosides() == "R"))
#>  For `aminoglycosides()` using column 'GEN' (gentamicin)
#> # A tibble: 991 × 9
#>    patient_id hospital date       bacteria     AMX   AMC   CIP   GEN   first
#>    <chr>      <chr>    <date>     <mo>         <sir> <sir> <sir> <sir> <lgl>
#>  1 J5         A        2017-12-25 B_STRPT_PNMN   R     S     S     R   TRUE 
#>  2 X1         A        2017-07-04 B_STPHY_AURS   R     S     S     R   TRUE 
#>  3 B3         A        2016-07-24 B_ESCHR_COLI   S     S     S     R   TRUE 
#>  4 V7         A        2012-04-03 B_ESCHR_COLI   S     S     S     R   TRUE 
#>  5 C9         A        2017-03-23 B_ESCHR_COLI   S     S     S     R   TRUE 
#>  6 R1         A        2018-06-10 B_STPHY_AURS   S     S     S     R   TRUE 
#>  7 S2         A        2013-07-19 B_STRPT_PNMN   S     S     S     R   TRUE 
#>  8 P5         A        2019-03-09 B_STPHY_AURS   S     S     S     R   TRUE 
#>  9 Q8         A        2019-08-10 B_STPHY_AURS   S     S     S     R   TRUE 
#> 10 K5         A        2013-03-15 B_STRPT_PNMN   S     S     S     R   TRUE 
#> #  981 more rows

our_data_1st %>%
  filter(all(betalactams() == "R"))
#>  For `betalactams()` using columns 'AMX' (amoxicillin) and 'AMC'
#>   (amoxicillin/clavulanic acid)
#> # A tibble: 461 × 9
#>    patient_id hospital date       bacteria     AMX   AMC   CIP   GEN   first
#>    <chr>      <chr>    <date>     <mo>         <sir> <sir> <sir> <sir> <lgl>
#>  1 M7         A        2013-07-22 B_STRPT_PNMN   R     R     S     S   TRUE 
#>  2 R10        A        2013-12-20 B_STPHY_AURS   R     R     S     S   TRUE 
#>  3 R7         A        2015-10-25 B_STPHY_AURS   R     R     S     S   TRUE 
#>  4 R8         A        2019-10-25 B_STPHY_AURS   R     R     S     S   TRUE 
#>  5 B6         A        2016-11-20 B_ESCHR_COLI   R     R     R     R   TRUE 
#>  6 I7         A        2015-08-19 B_ESCHR_COLI   R     R     S     S   TRUE 
#>  7 N3         A        2014-12-29 B_STRPT_PNMN   R     R     R     S   TRUE 
#>  8 Q2         A        2019-09-22 B_ESCHR_COLI   R     R     S     S   TRUE 
#>  9 X7         A        2011-03-20 B_ESCHR_COLI   R     R     S     R   TRUE 
#> 10 V1         A        2018-08-07 B_STPHY_AURS   R     R     S     S   TRUE 
#> #  451 more rows

# even works in base R (since R 3.0):
our_data_1st[all(betalactams() == "R"), ]
#>  For `betalactams()` using columns 'AMX' (amoxicillin) and 'AMC'
#>   (amoxicillin/clavulanic acid)
#> # A tibble: 461 × 9
#>    patient_id hospital date       bacteria     AMX   AMC   CIP   GEN   first
#>    <chr>      <chr>    <date>     <mo>         <sir> <sir> <sir> <sir> <lgl>
#>  1 M7         A        2013-07-22 B_STRPT_PNMN   R     R     S     S   TRUE 
#>  2 R10        A        2013-12-20 B_STPHY_AURS   R     R     S     S   TRUE 
#>  3 R7         A        2015-10-25 B_STPHY_AURS   R     R     S     S   TRUE 
#>  4 R8         A        2019-10-25 B_STPHY_AURS   R     R     S     S   TRUE 
#>  5 B6         A        2016-11-20 B_ESCHR_COLI   R     R     R     R   TRUE 
#>  6 I7         A        2015-08-19 B_ESCHR_COLI   R     R     S     S   TRUE 
#>  7 N3         A        2014-12-29 B_STRPT_PNMN   R     R     R     S   TRUE 
#>  8 Q2         A        2019-09-22 B_ESCHR_COLI   R     R     S     S   TRUE 
#>  9 X7         A        2011-03-20 B_ESCHR_COLI   R     R     S     R   TRUE 
#> 10 V1         A        2018-08-07 B_STPHY_AURS   R     R     S     S   TRUE 
#> #  451 more rows

Generate antibiograms

Since AMR v2.0 (March 2023), it is very easy to create different types of antibiograms, with support for 20 different languages.

There are four antibiogram types, as proposed by Klinker et al. (2021, DOI 10.1177/20499361211011373), and they are all supported by the new antibiogram() function:

  1. Traditional Antibiogram (TA) e.g, for the susceptibility of Pseudomonas aeruginosa to piperacillin/tazobactam (TZP)
  2. Combination Antibiogram (CA) e.g, for the sdditional susceptibility of Pseudomonas aeruginosa to TZP + tobramycin versus TZP alone
  3. Syndromic Antibiogram (SA) e.g, for the susceptibility of Pseudomonas aeruginosa to TZP among respiratory specimens (obtained among ICU patients only)
  4. Weighted-Incidence Syndromic Combination Antibiogram (WISCA) e.g, for the susceptibility of Pseudomonas aeruginosa to TZP among respiratory specimens (obtained among ICU patients only) for male patients age >=65 years with heart failure

In this section, we show how to use the antibiogram() function to create any of the above antibiogram types. For starters, this is what the included example_isolates data set looks like:

example_isolates
#> # A tibble: 2,000 × 46
#>    date       patient   age gender ward     mo           PEN   OXA   FLC   AMX  
#>    <date>     <chr>   <dbl> <chr>  <chr>    <mo>         <sir> <sir> <sir> <sir>
#>  1 2002-01-02 A77334     65 F      Clinical B_ESCHR_COLI   R     NA    NA    NA 
#>  2 2002-01-03 A77334     65 F      Clinical B_ESCHR_COLI   R     NA    NA    NA 
#>  3 2002-01-07 067927     45 F      ICU      B_STPHY_EPDR   R     NA    R     NA 
#>  4 2002-01-07 067927     45 F      ICU      B_STPHY_EPDR   R     NA    R     NA 
#>  5 2002-01-13 067927     45 F      ICU      B_STPHY_EPDR   R     NA    R     NA 
#>  6 2002-01-13 067927     45 F      ICU      B_STPHY_EPDR   R     NA    R     NA 
#>  7 2002-01-14 462729     78 M      Clinical B_STPHY_AURS   R     NA    S     R  
#>  8 2002-01-14 462729     78 M      Clinical B_STPHY_AURS   R     NA    S     R  
#>  9 2002-01-16 067927     45 F      ICU      B_STPHY_EPDR   R     NA    R     NA 
#> 10 2002-01-17 858515     79 F      ICU      B_STPHY_EPDR   R     NA    S     NA 
#> #  1,990 more rows
#> #  36 more variables: AMC <sir>, AMP <sir>, TZP <sir>, CZO <sir>, FEP <sir>,
#> #   CXM <sir>, FOX <sir>, CTX <sir>, CAZ <sir>, CRO <sir>, GEN <sir>,
#> #   TOB <sir>, AMK <sir>, KAN <sir>, TMP <sir>, SXT <sir>, NIT <sir>,
#> #   FOS <sir>, LNZ <sir>, CIP <sir>, MFX <sir>, VAN <sir>, TEC <sir>,
#> #   TCY <sir>, TGC <sir>, DOX <sir>, ERY <sir>, CLI <sir>, AZM <sir>,
#> #   IPM <sir>, MEM <sir>, MTR <sir>, CHL <sir>, COL <sir>, MUP <sir>, …

Traditional Antibiogram

To create a traditional antibiogram, simply state which antibiotics should be used. The antibiotics argument in the antibiogram() function supports any (combination) of the previously mentioned antibiotic class selectors:

antibiogram(example_isolates,
            antibiotics = c(aminoglycosides(), carbapenems()))
#>  For `aminoglycosides()` using columns 'GEN' (gentamicin), 'TOB'
#>   (tobramycin), 'AMK' (amikacin), and 'KAN' (kanamycin)
#>  For `carbapenems()` using columns 'IPM' (imipenem) and 'MEM' (meropenem)
Pathogen Amikacin Gentamicin Imipenem Kanamycin Meropenem Tobramycin
CoNS 0% (0-8%,N=43) 86% (82-90%,N=309) 52% (37-67%,N=48) 0% (0-8%,N=43) 52% (37-67%,N=48) 22% (12-35%,N=55)
E. coli 100% (98-100%,N=171) 98% (96-99%,N=460) 100% (99-100%,N=422) NA 100% (99-100%,N=418) 97% (96-99%,N=462)
E. faecalis 0% (0-9%,N=39) 0% (0-9%,N=39) 100% (91-100%,N=38) 0% (0-9%,N=39) NA 0% (0-9%,N=39)
K. pneumoniae NA 90% (79-96%,N=58) 100% (93-100%,N=51) NA 100% (93-100%,N=53) 90% (79-96%,N=58)
P. aeruginosa NA 100% (88-100%,N=30) NA 0% (0-12%,N=30) NA 100% (88-100%,N=30)
P. mirabilis NA 94% (80-99%,N=34) 94% (79-99%,N=32) NA NA 94% (80-99%,N=34)
S. aureus NA 99% (97-100%,N=233) NA NA NA 98% (92-100%,N=86)
S. epidermidis 0% (0-8%,N=44) 79% (71-85%,N=163) NA 0% (0-8%,N=44) NA 51% (40-61%,N=89)
S. hominis NA 92% (84-97%,N=80) NA NA NA 85% (74-93%,N=62)
S. pneumoniae 0% (0-3%,N=117) 0% (0-3%,N=117) NA 0% (0-3%,N=117) NA 0% (0-3%,N=117)

Notice that the antibiogram() function automatically prints in the right format when using Quarto or R Markdown (such as this page), and even applies italics for taxonomic names (by using italicise_taxonomy() internally).

It also uses the language of your OS if this is either English, Arabic, Bengali, Chinese, Czech, Danish, Dutch, Finnish, French, German, Greek, Hindi, Indonesian, Italian, Japanese, Korean, Norwegian, Polish, Portuguese, Romanian, Russian, Spanish, Swahili, Swedish, Turkish, Ukrainian, Urdu, or Vietnamese. In this next example, we force the language to be Spanish using the language argument:

antibiogram(example_isolates,
            mo_transform = "gramstain",
            antibiotics = aminoglycosides(),
            ab_transform = "name",
            language = "es")
#>  For `aminoglycosides()` using columns 'GEN' (gentamicin), 'TOB'
#>   (tobramycin), 'AMK' (amikacin), and 'KAN' (kanamycin)
Patógeno Amikacina Gentamicina Kanamicina Tobramicina
Gram negativo 98% (96-99%,N=256) 96% (95-98%,N=684) 0% (0-10%,N=35) 96% (94-97%,N=686)
Gram positivo 0% (0-1%,N=436) 63% (60-66%,N=1170) 0% (0-1%,N=436) 34% (31-38%,N=665)

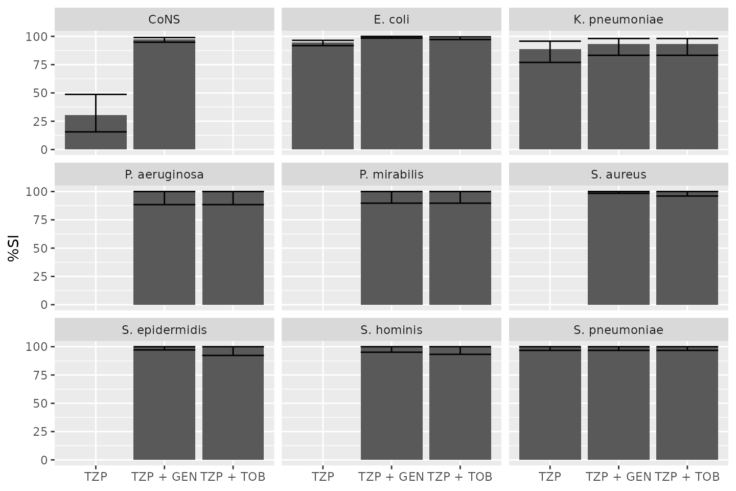
Combined Antibiogram

To create a combined antibiogram, use antibiotic codes or names with a plus + character like this:

combined_ab <- antibiogram(example_isolates,
                           antibiotics = c("TZP", "TZP+TOB", "TZP+GEN"),
                           ab_transform = NULL)
combined_ab
Pathogen TZP TZP + GEN TZP + TOB
CoNS 30% (16-49%,N=33) 97% (95-99%,N=274) NA
E. coli 94% (92-96%,N=416) 100% (98-100%,N=459) 99% (97-100%,N=461)
K. pneumoniae 89% (77-96%,N=53) 93% (83-98%,N=58) 93% (83-98%,N=58)
P. aeruginosa NA 100% (88-100%,N=30) 100% (88-100%,N=30)
P. mirabilis NA 100% (90-100%,N=34) 100% (90-100%,N=34)
S. aureus NA 100% (98-100%,N=231) 100% (96-100%,N=91)
S. epidermidis NA 100% (97-100%,N=128) 100% (92-100%,N=46)
S. hominis NA 100% (95-100%,N=74) 100% (93-100%,N=53)
S. pneumoniae 100% (97-100%,N=112) 100% (97-100%,N=112) 100% (97-100%,N=112)

Syndromic Antibiogram

To create a syndromic antibiogram, the syndromic_group argument must be used. This can be any column in the data, or e.g. an ifelse() with calculations based on certain columns:

antibiogram(example_isolates,
            antibiotics = c(aminoglycosides(), carbapenems()),
            syndromic_group = "ward")
#>  For `aminoglycosides()` using columns 'GEN' (gentamicin), 'TOB'
#>   (tobramycin), 'AMK' (amikacin), and 'KAN' (kanamycin)
#>  For `carbapenems()` using columns 'IPM' (imipenem) and 'MEM' (meropenem)
Syndromic Group Pathogen Amikacin Gentamicin Imipenem Kanamycin Meropenem Tobramycin
Clinical CoNS NA 89% (84-93%,N=205) 57% (39-74%,N=35) NA 57% (39-74%,N=35) 26% (12-45%,N=31)
ICU CoNS NA 79% (68-88%,N=73) NA NA NA NA
Outpatient CoNS NA 84% (66-95%,N=31) NA NA NA NA
Clinical E. coli 100% (97-100%,N=104) 98% (96-99%,N=297) 100% (99-100%,N=266) NA 100% (99-100%,N=276) 98% (96-99%,N=299)
ICU E. coli 100% (93-100%,N=52) 99% (95-100%,N=137) 100% (97-100%,N=133) NA 100% (97-100%,N=118) 96% (92-99%,N=137)
Clinical K. pneumoniae NA 92% (81-98%,N=51) 100% (92-100%,N=44) NA 100% (92-100%,N=46) 92% (81-98%,N=51)
Clinical P. mirabilis NA 100% (88-100%,N=30) NA NA NA 100% (88-100%,N=30)
Clinical S. aureus NA 99% (95-100%,N=150) NA NA NA 97% (89-100%,N=63)
ICU S. aureus NA 100% (95-100%,N=66) NA NA NA NA
Clinical S. epidermidis NA 82% (72-90%,N=79) NA NA NA 55% (39-70%,N=44)
ICU S. epidermidis NA 72% (60-82%,N=75) NA NA NA 41% (26-58%,N=41)
Clinical S. hominis NA 96% (85-99%,N=45) NA NA NA 94% (79-99%,N=31)
Clinical S. pneumoniae 0% (0-5%,N=78) 0% (0-5%,N=78) NA 0% (0-5%,N=78) NA 0% (0-5%,N=78)
ICU S. pneumoniae 0% (0-12%,N=30) 0% (0-12%,N=30) NA 0% (0-12%,N=30) NA 0% (0-12%,N=30)

Weighted-Incidence Syndromic Combination Antibiogram (WISCA)

To create a Weighted-Incidence Syndromic Combination Antibiogram (WISCA), simply set wisca = TRUE in the antibiogram() function, or use the dedicated wisca() function. Unlike traditional antibiograms, WISCA provides syndrome-based susceptibility estimates, weighted by pathogen incidence and antimicrobial susceptibility patterns.

example_isolates %>%
  wisca(antibiotics = c("TZP", "TZP+TOB", "TZP+GEN"),
        minimum = 10) # Recommended threshold: ≥30
Piperacillin/tazobactam Piperacillin/tazobactam + Gentamicin Piperacillin/tazobactam + Tobramycin
69.4% (64.3-74.3%) 92.6% (91.1-93.9%) 88.7% (85.8-91.2%)

WISCA uses a Bayesian decision model to integrate data from multiple pathogens, improving empirical therapy guidance, especially for low-incidence infections. It is pathogen-agnostic, meaning results are syndrome-based rather than stratified by microorganism.

For reliable results, ensure your data includes only first isolates (use first_isolate()) and consider filtering for the top n species (use top_n_microorganisms()), as WISCA outcomes are most meaningful when based on robust incidence estimates.

For patient- or syndrome-specific WISCA, run the function on a grouped tibble, i.e., using group_by() first:

example_isolates %>%
  top_n_microorganisms(n = 10) %>%
  group_by(age_group = age_groups(age, c(25, 50, 75)),
           gender) %>%
  wisca(antibiotics = c("TZP", "TZP+TOB", "TZP+GEN"))
age_group gender Piperacillin/tazobactam Piperacillin/tazobactam + Gentamicin Piperacillin/tazobactam + Tobramycin
0-24 F 56.6% (25.2-83.9%) 73.6% (48-91.6%) 68.6% (42.9-89.5%)
0-24 M 60.3% (28.4-87.1%) 79.7% (57.6-94.2%) 60.1% (29.5-87.7%)
25-49 F 66.6% (45.6-85.5%) 91.7% (84.6-96.7%) 83% (67.9-94%)
25-49 M 56.4% (29.1-81.7%) 89.2% (80.3-95.7%) 72.4% (49.7-90%)
50-74 F 67.8% (55.8-80.1%) 95.6% (93.2-97.5%) 88.1% (80.4-94.6%)
50-74 M 66.2% (54.8-75.8%) 95.2% (92.4-97.4%) 84.4% (74.4-92.5%)
75+ F 71.7% (61-81.7%) 96.6% (94.4-98.2%) 90.6% (84.6-95.3%)
75+ M 72.9% (63.8-82%) 96.6% (94.6-98.1%) 92.8% (87.8-96.5%)

Plotting antibiograms

Antibiograms can be plotted using autoplot() from the ggplot2 packages, since this AMR package provides an extension to that function:

autoplot(combined_ab)

To calculate antimicrobial resistance in a more sensible way, also by correcting for too few results, we use the resistance() and susceptibility() functions.

Resistance percentages

The functions resistance() and susceptibility() can be used to calculate antimicrobial resistance or susceptibility. For more specific analyses, the functions proportion_S(), proportion_SI(), proportion_I(), proportion_IR() and proportion_R() can be used to determine the proportion of a specific antimicrobial outcome.

All these functions contain a minimum argument, denoting the minimum required number of test results for returning a value. These functions will otherwise return NA. The default is minimum = 30, following the CLSI M39-A4 guideline for applying microbial epidemiology.

As per the EUCAST guideline of 2019, we calculate resistance as the proportion of R (proportion_R(), equal to resistance()) and susceptibility as the proportion of S and I (proportion_SI(), equal to susceptibility()). These functions can be used on their own:

our_data_1st %>% resistance(AMX)
#> [1] 0.4294272

Or can be used in conjunction with group_by() and summarise(), both from the dplyr package:

our_data_1st %>%
  group_by(hospital) %>%
  summarise(amoxicillin = resistance(AMX))
#> # A tibble: 3 × 2
#>   hospital amoxicillin
#>   <chr>          <dbl>
#> 1 A              0.341
#> 2 B              0.586
#> 3 C              0.370

Interpreting MIC and Disk Diffusion Values

Minimal inhibitory concentration (MIC) values and disk diffusion diameters can be interpreted into clinical breakpoints (SIR) using as.sir(). Heres an example with randomly generated MIC values for Klebsiella pneumoniae and ciprofloxacin:

set.seed(123)
mic_values <- random_mic(100)
sir_values <- as.sir(mic_values, mo = "K. pneumoniae", ab = "cipro", guideline = "EUCAST 2024")

my_data <- tibble(MIC = mic_values, SIR = sir_values)
my_data
#> # A tibble: 100 × 2
#>         MIC SIR  
#>       <mic> <sir>
#>  1 <=0.0001   S  
#>  2   0.0160   S  
#>  3 >=8.0000   R  
#>  4   0.0320   S  
#>  5   0.0080   S  
#>  6  64.0000   R  
#>  7   0.0080   S  
#>  8   0.1250   S  
#>  9   0.0320   S  
#> 10   0.0002   S  
#> #  90 more rows

This allows direct interpretation according to EUCAST or CLSI breakpoints, facilitating automated AMR data processing.

Plotting MIC and SIR Interpretations

We can visualise MIC distributions and their SIR interpretations using ggplot2, using the new scale_y_mic() for the y-axis and scale_colour_sir() to colour-code SIR categories.

# add a group
my_data$group <- rep(c("A", "B", "C", "D"), each = 25) 

ggplot(my_data,
       aes(x = group, y = MIC, colour = SIR)) +
  geom_jitter(width = 0.2, size = 2) +
  geom_boxplot(fill = NA, colour = "grey40") +
  scale_y_mic() +
  scale_colour_sir() +
  labs(title = "MIC Distribution and SIR Interpretation",
       x = "Sample Groups",
       y = "MIC (mg/L)")

This plot provides an intuitive way to assess susceptibility patterns across different groups while incorporating clinical breakpoints.

For a more straightforward and less manual approach, ggplot2s function autoplot() has been extended by this package to directly plot MIC and disk diffusion values:

autoplot(mic_values)


# by providing `mo` and `ab`, colours will indicate the SIR interpretation:
autoplot(mic_values, mo = "K. pneumoniae", ab = "cipro", guideline = "EUCAST 2024")


Author: Dr. Matthijs Berends, 23rd Feb 2025